电话:029-87679000(总机)
地址:陕西省西安市西五路157号
邮编:710114
网址:www.2yuan.xjtu.edu.cn
代谢功能障碍相关脂肪性肝病(MASLD)是全球发病率最高的慢性肝病,成年人群患病率达30%-35%且持续攀升,已成为全球性重大公共卫生问题。高血压是MASLD常见的合并症,临床中约30-50%的MASLD患者合并高血压。关于高血压如何影响MASLD患者肝纤维化进展、长期临床结局,以及相关干预的临床价值尚未达成共识,导致临床诊疗中对该合并症的关注与干预均相对不足,亟需高质量证据来填补这一空白。
围绕该临床问题,西安交通大学第二附属医院肝病科纪泛扑教授/高宁博士团队开展研究,相关成果《代谢功能障碍相关脂肪性肝病预后模型的构建与验证:明确高血压为关键影响因素——基于人群研究》(Development and validation of a prognostic model for MASLD identifying hypertension as a pivotal factor: A population-based study)为题,以Research Letter形式刊发于《Journal of Hepatology》(IF=33)。

为精准验证高血压对MASLD患者预后的影响,纪泛扑教授/高宁博士团队以1988-1994年美国第三次国家健康与营养检查调查(NHANES III)队列为核心数据来源,数据库对研究人员进行长达31年的纵向随访。研究严格设定纳入与排除标准:纳入20-70岁、代谢功能障碍相关纤维化评分(MAF-5)≥0的MASLD患者,同时排除数据缺失、大量饮酒(女性≥140g/周、男性≥210g/周)、患严重基础疾病等可能干扰研究结果的参与者,最终从7942名队列参与者中筛选出1716例符合标准的研究对象。研究明确收缩压≥140mmHg和/或舒张压≥90mmHg为高血压诊断标准,结合Cox比例风险回归模型、Kaplan-Meier生存分析、受试者工作特征曲线(AUROC)等多种统计学方法开展系统分析,充分保障了研究结果的可靠性与科学性。

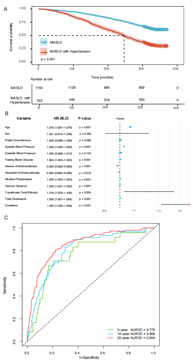
图A 单纯型与合并高血压型MASLD的Kaplan–Meier生存曲线(5、10、20 年);
图B基于MAF-5评分的预后相关危险因素森林图;
图C MAF-5预后模型对MASLD生存的受试者工作特征曲线下面积(5、10、20 年)
研究结果显示:在纳入的1716例MASLD患者中,高血压患病率达30.48%;Kaplan-Meier生存分析显示,合并高血压的MASLD患者在5年、10年及20年随访节点的生存率均显著低于单纯MASLD患者(p<0.001),验证了高血压与MASLD患者不良预后的密切关联。多因素Cox比例风险回归分析进一步证实,血肌酐是影响MASLD患者预后的首要风险因素(HR=1.46,95%CI 1.33-1.61,p<0.05),总胆红素为次要风险因素(HR=1.22,95%CI 1.03-1.44,p<0.05),而收缩压则是影响MASLD患者预后的独立风险因素(HR=1.03,95%CI 1.026-1.033,p<0.05),研究结果明确了血压干预在MASLD综合管理中的重要地位。同时,团队基于MAF-5构建的MASLD预后模型表现出优异的预测效能,其预测5年、10年及20年生存率的AUROC值分别达0.77、0.81及0.85,为临床早期识别MASLD高风险患者提供了精准工具,进一步强化了高血压显著增加MASLD患者不良结局风险的核心结论。
论文链接:https://www.journal-of-hepatology.eu/article/S0168-8278(25)02733-3/abstract